decred.org/dcrdex@v1.0.3/docs/images (about)

break-even-half-gap.png
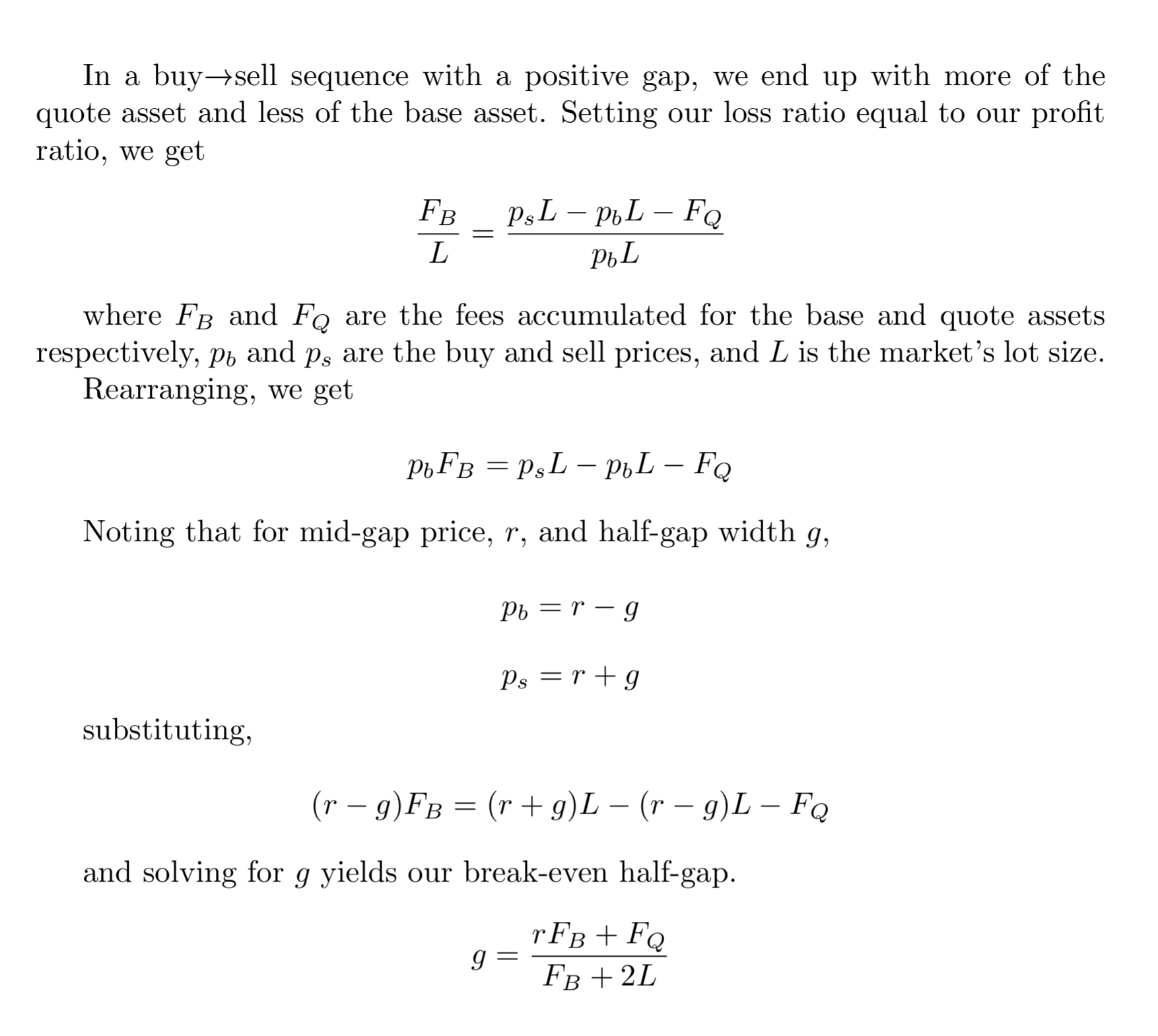
break-even-half-gap.tex
logo_wide_v2.svg